你好,欢迎来到中华试剂网 购试剂 买耗材! [请登录][注册有惊喜]

货号快速下单 | 签到送积分   | 会员中心 | 客服热线:400-021-2765

6-氯-5-氟甲酸吡啶的合成路线

提问时间:2021/4/23 8:56:11
6-氯-5-氟甲酸吡啶有什么方法可以合成?

1条回复:

匿名
2021/4/23 8:56:11
基本信息:
中文名称 6-氯-5-氟甲酸吡啶
中文别名 2-氯-3-氟-6-羧基吡啶;
英文名称 6-Chloro-5-Fluoro-Pyridine-2-Carboxylic Acid
英文别名 6-Chloro-5-fluoropyridine-2-carboxylic acid;
CAS号 860296-24-8

合成路线:
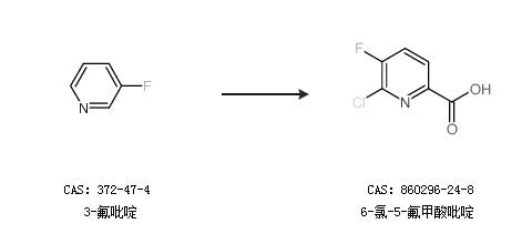
1.通过3-氟吡啶合成6-氯-5-氟甲酸吡啶


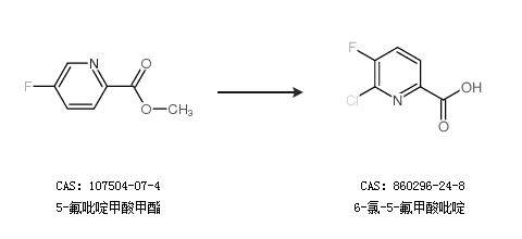
2.通过5-氟吡啶甲酸甲酯合成6-氯-5-氟甲酸吡啶


中华试剂网提醒:合成路线仅供参考
回复