基本信息:
中文名称 6-氯-2-羟基喹恶啉
中文别名 6-氯-2-羟基喹噁啉;6-氯-2(1H)-喹喔啉酮;2-羟基-6-氯喹喔啉;
英文名称 2-Hydroxy-6-chloroquinoxaline
英文别名 6-chloroquinoxalin-2-one;6-Chlor-1H-chinoxalin-2-on;6-Chloroquinoxalin-2-ol;6-chloro-1H-quinoxalin-2-one;6-chloro-1,2-dihydroquinoxalin-2-one;6-Chloro-2-quinoxalinone;6-CHLORO-2-HYDROXYQUINOXALINE;
CAS号 2427-71-6
合成路线:
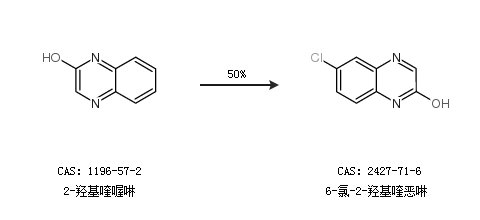
1.通过2-羟基喹喔啉合成6-氯-2-羟基喹恶啉,收率约50%;

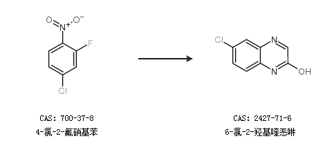
2.通过4-氯-2-氟硝基苯合成6-氯-2-羟基喹恶啉

中华试剂网提醒:合成路线仅供参考