你好,欢迎来到中华试剂网 购试剂 买耗材! [请登录][注册有惊喜]

货号快速下单 | 签到送积分   | 会员中心 | 客服热线:400-021-2765

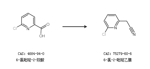
6-氯-2-吡啶乙腈的合成路线

提问时间:2021/4/23 8:56:11
6-氯-2-吡啶乙腈有什么方法可以合成?

1条回复:

匿名
2021/4/23 8:56:11
基本信息:
中文名称 6-氯-2-吡啶乙腈
英文名称 2-(6-chloropyridin-2-yl)acetonitrile
英文别名 (6-chloropyridin-2-yl)acetonitrile;2-Pyridineacetonitrile,6-chloro;
CAS号 75279-60-6

合成路线:
1.通过2,6-二氯吡啶和乙腈合成6-氯-2-吡啶乙腈,收率约73%;


2.通过6-氯吡啶-2-羧酸合成6-氯-2-吡啶乙腈


中华试剂网提醒:合成路线仅供参考
回复