基本信息:
中文名称 6-甲氧基-2,3-二甲基吲哚
英文名称 6-methoxy-2,3-dimethyl-1H-indole
英文别名 2,3-Dimethyl-6-Methoxyindole;2,3-Dimethyl-6-methoxyindol;6-methoxy-2,3-dimethylindole;2,3-Dimethyl-6-methoxy-1H-indole;6-Methoxy-2,3-dimethyl-indol;
CAS号 58176-56-0
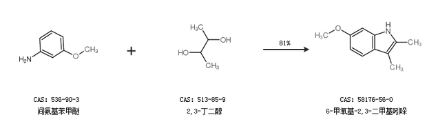
合成路线:
1.通过间氨基苯甲醚和2,3-丁二醇合成6-甲氧基-2,3-二甲基吲哚,收率约81%;

2.通过3-羟基-2-丁酮和间氨基苯甲醚合成6-甲氧基-2,3-二甲基吲哚,收率约75%;

中华试剂网提醒:合成路线仅供参考