基本信息:
中文名称 5-溴噻吩-2-甲酸乙酯
中文别名 5-溴噻吩-2-甲酸;
英文名称 Ethyl 5-bromothiophene-2-carboxylate
英文别名 5-bromothiophen-2-carboxylic acid ethyl ester;Ethyl5-bromothiophene-2-carboxylate;5-Bromothiophene-2-carboxylic acid ethyl ester;ethyl 5-bromo-2-thiophene-carboxylate;
CAS号 5751-83-7
合成路线:
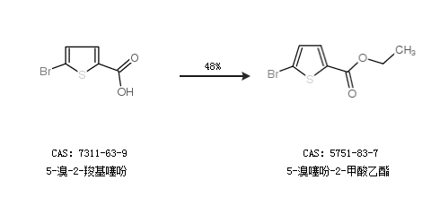
1.通过5-溴-2-羧基噻吩合成5-溴噻吩-2-甲酸乙酯,收率约48%;

2.通过5-溴噻吩-2-甲醛合成5-溴噻吩-2-甲酸乙酯

中华试剂网提醒:合成路线仅供参考