你好,欢迎来到中华试剂网 购试剂 买耗材! [请登录][注册有惊喜]

货号快速下单 | 签到送积分   | 会员中心 | 客服热线:400-021-2765

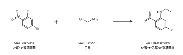
5-溴-N-乙基-2-硝基苯胺的合成路线

提问时间:2021/4/23 8:56:10
5-溴-N-乙基-2-硝基苯胺有什么方法可以合成?

1条回复:

匿名
2021/4/23 8:56:10
基本信息:
中文名称 5-溴-N-乙基-2-硝基苯胺
英文名称 5-Bromo-N-ethyl-2-nitroaniline
英文别名 5-bromo-N-ethyl-2-nitroaniline;
CAS号 813448-98-5

合成路线:
1.通过2-氟-4-溴硝基苯和乙胺合成5-溴-N-乙基-2-硝基苯胺


2.通过乙醇和2-氟-4-溴硝基苯合成5-溴-N-乙基-2-硝基苯胺


中华试剂网提醒:合成路线仅供参考
回复