基本信息:
中文名称 5-溴-3-(1-甲基-1,2,3,6-四氢吡啶-4-基)-1H-吲哚
英文名称 5-bromo-3-(1-methyl-3,6-dihydro-2H-pyridin-4-yl)-1H-indole
英文别名 5-Bromo-3-(1-Methyl-1,2,3,6-tetrahydro-4-pyridinyl)-1H-indole;
CAS号 116480-53-6
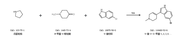
合成路线:
1.通过N-甲基-4-哌啶酮和5-溴吲哚合成5-溴-3-(1-甲基-1,2,3,6-四氢吡啶-4-基)-1H-吲哚,收率约96%;

2.通过四氢吡咯、N-甲基-4-哌啶酮和5-溴吲哚合成5-溴-3-(1-甲基-1,2,3,6-四氢吡啶-4-基)-1H-吲哚,收率约76%;

中华试剂网提醒:合成路线仅供参考