你好,欢迎来到中华试剂网 购试剂 买耗材! [请登录][注册有惊喜]

货号快速下单 | 签到送积分   | 会员中心 | 客服热线:400-021-2765

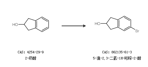
5-溴-2,3-二氢-1H-吲哚-2-醇的合成路线

提问时间:2021/4/23 8:56:09
5-溴-2,3-二氢-1H-吲哚-2-醇有什么方法可以合成?

1条回复:

匿名
2021/4/23 8:56:09
基本信息:
中文名称 5-溴-2,3-二氢-1H-吲哚-2-醇
中文别名 5-溴-2-茚满醇;
英文名称 5-Bromo-2,3-dihydro-1H-inden-2-ol
英文别名 1H-Inden-2-ol, 5-bromo-2,3-dihydro-;
CAS号 862135-61-3

合成路线:
1.通过2-茚醇合成5-溴-2,3-二氢-1H-吲哚-2-醇


中华试剂网提醒:合成路线仅供参考
回复