基本信息:
中文名称 5-氯-4-氟-1H-吲哚-2-羧酸
中文别名 5-氯-4-氟吲哚-2-羧酸;
英文名称 5-Chloro-4-fluoro-1H-indole-2-carboxylic acid
英文别名 WT598;5-Chloro-4-fluoroindole-2-carboxylic acid;1H-Indole-2-carboxylic acid,5-chloro-4-fluoro;
CAS号 186446-26-4
合成路线:
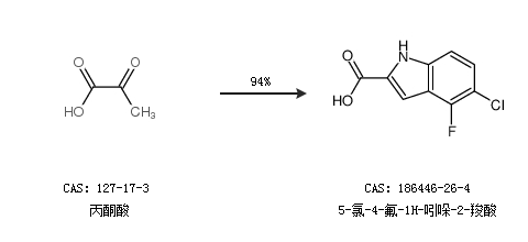
1.通过丙酮酸合成5-氯-4-氟-1H-吲哚-2-羧酸,收率约94%;

2.通过5-氯-4-氟-1H-吲哚-2-羧酸甲酯合成5-氯-4-氟-1H-吲哚-2-羧酸,收率约92%;

中华试剂网提醒:合成路线仅供参考