基本信息:
中文名称 5-氯-1,2,3,6-四氢-2,6-二氧代-4-嘧啶甲酸
中文别名 5-氯-1,2,3,6-四氢-2,6-二氧代-4-嘧啶羧酸;
英文名称 5-chloro-2,4-dioxo-1H-pyrimidine-6-carboxylic acid
英文别名 5-Chlor-2,6-dioxo-1,2,3,6-tetrahydro-pyrimidin-4-carbonsaeure;5-Chlor-orotsaeure;5-Chloro-2,6-dihydroxy-4-pyrimidinecarboxylic acid;5-chloro-2,6-dioxo-1,2,3,6-tetrahydro-pyrimidine-4-carboxylic acid;
CAS号 36313-98-1
合成路线:
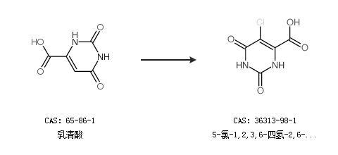
1.通过乳清酸合成5-氯-1,2,3,6-四氢-2,6-二氧代-4-嘧啶甲酸

中华试剂网提醒:合成路线仅供参考