基本信息:
中文名称 5-甲氧基色胺
中文别名 O-甲氧基色胺;2-(5-甲氧基-1H-吲哚-3-基)乙胺;
英文名称 O-methylserotonin
英文别名 5MOT;Meksamin;O-METHYLSEROTONIN;Mexamine base;5-Methoxytryptamine;MEXAMINE;O-methyl-5-HT;
CAS号 608-07-1
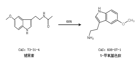
合成路线:
1.通过5-甲氧基-3-(2-硝基乙烯基)-吲哚合成5-甲氧基色胺

2.通过褪黑素合成5-甲氧基色胺,收率约68%;

中华试剂网提醒:合成路线仅供参考