基本信息:
中文名称 5-甲基-5-乙基海因
中文别名 5-甲基-5-乙基乙内酰脲;
英文名称 2,4-Imidazolidinedione,5-ethyl-5-methyl-
英文别名 5-methyl-5-ethylhydantoin;5-ethyl-5-methyl-hydantoin;5-Methyl-5-ethyl-2,4-imidazolidinedione;5-Ethyl-5-methyl-2,4-imidazolidinedione;3-ethyl-methylhydantoin;5-Aethyl-5-methyl-imidazolidin-2,4-dion;5-ETHYL-5-METHYLIMIDAZOLIDINE-2,4-DIONE;
CAS号 5394-36-5
合成路线:
1.通过2-羟基-2-甲基丁腈和碳酸铵合成5-甲基-5-乙基海因

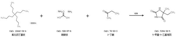
2.通过氰化四丁基铵、碳酸铵和2-丁酮合成5-甲基-5-乙基海因,收率约49%;

中华试剂网提醒:合成路线仅供参考