基本信息:
中文名称 5-氟吡啶-3-甲酸甲酯
中文别名 5-氟烟酸甲酯;
英文名称 Methyl 5-fluoronicotinate
英文别名 Methyl 5-fluoro-3-pyridinecarboxylate;methyl 5-fluoropyridine-3-carboxylate;
CAS号 455-70-9
合成路线:
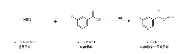
1.通过重氮甲烷和5-氟烟酸合成5-氟吡啶-3-甲酸甲酯,收率约98%;

2.通过5-羟基烟酸甲酯合成5-氟吡啶-3-甲酸甲酯

中华试剂网提醒:合成路线仅供参考