基本信息:
中文名称 5’-三磷酸腺苷
中文别名 三磷腺苷;5''-三磷酸腺苷(ATP);ATP;腺苷-5''-三磷酸;三磷酸腺苷酸;5-三磷酸腺苷;5''-三磷酸腺苷;
英文名称 ATP
英文别名 Adenphos;adynol;adephos;striadyne;Adenosine triphosphate;adenosine 5''-triphosphoric acid;Adenosinetriphosphate;adenosine 5''-triphosphate;Striphos;adetol;atriphos;atipi;
CAS号 56-65-5
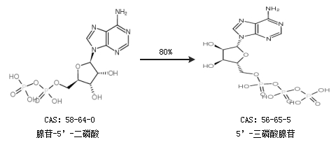
合成路线:
1.通过腺苷-5’-二磷酸合成5’-三磷酸腺苷,收率约80%;

2.通过5’-对甲苯磺酸腺苷合成5’-三磷酸腺苷,收率约72%;

中华试剂网提醒:合成路线仅供参考