基本信息:
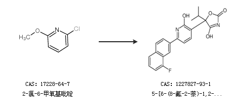
中文名称 5-[6-(8-氟-2-萘)-1,2-二氢-2-氧代-3-吡啶]-5-(1-甲基乙基)-2,4-噁唑啉二酮
英文名称 5-[6-(8-Fluoro-2-naphthyl)-2-oxo-1,2-dihydro-3-pyridinyl]-5-isopr opyl-1,3-oxazolidine-2,4-dione
CAS号 1227827-93-1
合成路线:
1.通过2-氯-6-甲氧基吡啶合成5-[6-(8-氟-2-萘)-1,2-二氢-2-氧代-3-吡啶]-5-(1-甲基乙基)-2,4-噁唑啉二酮

2.通过1-氟-7-甲氧基萘合成5-[6-(8-氟-2-萘)-1,2-二氢-2-氧代-3-吡啶]-5-(1-甲基乙基)-2,4-噁唑啉二酮

中华试剂网提醒:合成路线仅供参考