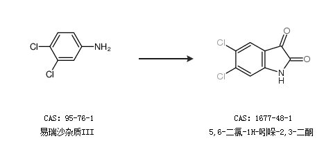
基本信息:
中文名称 5,6-二氯-1H-吲哚-2,3-二酮
中文别名 5,6-二氯靛红;5,6-二氯-1H-吲哚-2,3-二酮;
英文名称 5,6-Dichloro-1H-indole-2,3-dione
英文别名 5,6-dichloroisatin;5,6-Dichlor-indolin-2,3-dion;5,6-Dichloroindoline-2,3-dione;Isatin-based compound,52;
CAS号 1677-48-1
合成路线:
1.通过6-氯靛红合成5,6-二氯-1H-吲哚-2,3-二酮,收率约71%;

2.通过易瑞沙杂质III合成5,6-二氯-1H-吲哚-2,3-二酮

中华试剂网提醒:合成路线仅供参考