基本信息:
中文名称 4-溴-3-羟基苯甲醇
中文别名 3-羟基-4-溴苄醇;
英文名称 2-bromo-5-(hydroxymethyl)phenol
英文别名 4-Brom-3-hydroxy-benzylalkohol;3-Hydroxy-4-bromo-benzylalkohol;2-bromo-5-hydroxymethylphenol;Benzenemethanol,4-bromo-3-hydroxy;4-Bromo-3-hydroxybenzyl alcohol;
CAS号 2737-19-1
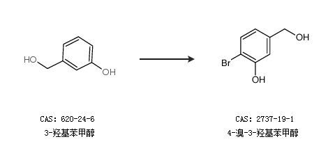
合成路线:
1.通过3-羟基苯甲醇合成4-溴-3-羟基苯甲醇

中华试剂网提醒:合成路线仅供参考