基本信息:
中文名称 4-三氟甲基-1,3-二氢-2H-1,5-苯并二氮杂革-2-酮
英文名称 4-(Trifluoromethyl)-1,3-dihydro-2H-1,5-benzodiazepin-2-one
英文别名 1-Fluor-4-trifluormethylnaphtalin;1-Fluor-4-trifluormethylnaphthalin;1-fluoro-4-trifluoromethyl-naphthalene;4-trifluoromethyl-1-fluoronaphthalene;1-Fluoro-4-trifluoromethylnaphthalin;
CAS号 2070-87-3
合成路线:
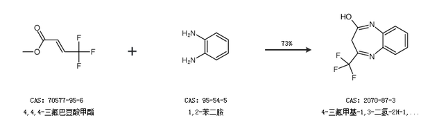
1.通过4,4,4-三氟巴豆酸甲酯和1,2-苯二胺合成4-三氟甲基-1,3-二氢-2H-1,5-苯并二氮杂革-2-酮,收率约73%;

2.通过1,2-苯二胺和三氟乙酰乙酸乙酯合成4-三氟甲基-1,3-二氢-2H-1,5-苯并二氮杂革-2-酮

中华试剂网提醒:合成路线仅供参考