基本信息:
中文名称 4-氰基-3-苯基丙酸
中文别名 3-(4-氰基苯基)丙酸;
英文名称 3-(4-CYANOPHENYL)PROPANOIC ACID
英文别名 4-CYANOBENZENEPROPANOIC ACID;Benzenepropanoic acid,4-cyano;3-(4-Cyanophenyl)propanoic acid;3-(4-Cyanophenyl)propionic acid;
CAS号 42287-94-5
合成路线:
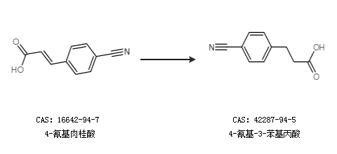
1.通过4-氰基肉桂酸合成4-氰基-3-苯基丙酸

2.通过4-氰基-3-苯丙酸甲酯合成4-氰基-3-苯基丙酸

中华试剂网提醒:合成路线仅供参考