基本信息:
中文名称 4-羟基邻苯二甲酸
中文别名 4-羟基-1,2-苯二甲酸;4-羟基酞酸;4-羟基邻苯二酸;
英文名称 4-hydroxyphthalic acid
英文别名 4-Hydroxyphthalic acid;3,4-DICARBOXYPHENOL;4-HYDROXY-1,2-BENZENEDICARBOXYLIC ACID;4-hydroxyphtalic acid;4''-hydroxyphthalic acid;4-hydroxy phthalic acid 4-HPA;4-hydroxy-2-benzenedicarboxylicacid;RARECHEM AL BO 0808;
CAS号 610-35-5
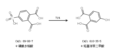
合成路线:
1.通过4-磺酰水杨酸合成4-羟基邻苯二甲酸,收率约71%;

2.通过4-氨基邻苯二甲酸合成4-羟基邻苯二甲酸

中华试剂网提醒:合成路线仅供参考