你好,欢迎来到中华试剂网 购试剂 买耗材! [请登录][注册有惊喜]

货号快速下单 | 签到送积分   | 会员中心 | 客服热线:400-021-2765

4-羟基-1,5-萘啶的合成路线

提问时间:2021/4/23 8:56:05
4-羟基-1,5-萘啶有什么方法可以合成?

1条回复:

匿名
2021/4/23 8:56:05
基本信息:
中文名称 4-羟基-1,5-萘啶
中文别名 [1,5]萘啶-4-醇;
英文名称 1,5-Naphthyridin-4-ol
CAS号 5423-54-1

合成路线:
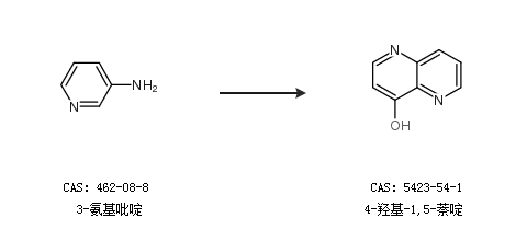
1.通过3-氨基吡啶合成4-羟基-1,5-萘啶


2.通过4-羟基-[1,5]二氮杂萘-3-甲酸乙酯合成4-羟基-1,5-萘啶


中华试剂网提醒:合成路线仅供参考
回复