基本信息:
中文名称 4-哌啶甲酸乙酯
中文别名 哌啶-4-羧酸乙酯;异哌啶酸乙酯;哌啶-4-甲酸乙酯;
英文名称 Ethyl 4-piperidinecarboxylate
英文别名 Ethyl 4-Piperidinecarboxylate;Isonipecotic Acid Ethyl Ester;Ethyl Isonipecotate,Ethyl 4-Piperidinecarboxylate;4-piperidine carboxylic acid ethyl ester;ethyl piperidine-4-carboxylate;4-Piperidinecarboxylic Acid Ethyl Ester;Ethyl piperidine-4-carboxylate;Ethyl Isonipecotate;
CAS号 1126-09-6
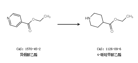
合成路线:
1.通过4-哌啶甲酸和乙醇合成4-哌啶甲酸乙酯,收率约94%;

2.通过异烟酸乙酯合成4-哌啶甲酸乙酯

中华试剂网提醒:合成路线仅供参考