基本信息:
中文名称 4-氯-6-羟基甲基-2-苯基嘧啶
英文名称 (6-Chloro-2-phenylpyrimidin-4-yl)methanol
英文别名 4-Chloro-6-hydroxymethyl-2-phenylpyrimidine;chlorophenylpyrimidinylmethanol;(6-chloro-2-phenyl-pyrimidin-4-yl)-methanol;
CAS号 325685-75-4
合成路线:
1.通过4-氯-6-(甲氧基甲基)-2-苯基嘧啶合成4-氯-6-羟基甲基-2-苯基嘧啶,收率约10%;

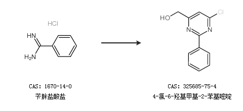
2.通过苄脒盐酸盐合成4-氯-6-羟基甲基-2-苯基嘧啶

中华试剂网提醒:合成路线仅供参考