你好,欢迎来到中华试剂网 购试剂 买耗材! [请登录][注册有惊喜]

货号快速下单 | 签到送积分   | 会员中心 | 客服热线:400-021-2765

4-甲基吲哚酮的合成路线

提问时间:2021/4/23 8:56:04
4-甲基吲哚酮有什么方法可以合成?

1条回复:

匿名
2021/4/23 8:56:04
基本信息:
中文名称 4-甲基吲哚酮
中文别名 4-甲基氧化吲哚;4-甲基吲哚啉-2-酮;
英文名称 4-Methylindolin-2-one
英文别名 4-methyl-1,3-dihydroindol-2-one;
CAS号 13220-46-7

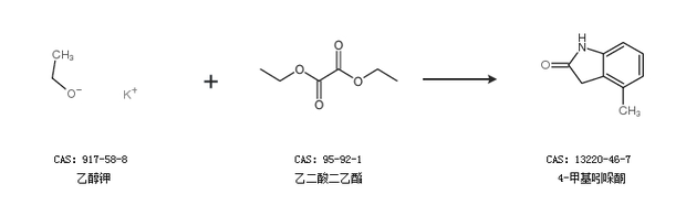
合成路线:
1.通过2-(2-甲基-6-硝基苯基)乙酸合成4-甲基吲哚酮,收率约74%;


2.通过乙醇钾和乙二酸二乙酯合成4-甲基吲哚酮


中华试剂网提醒:合成路线仅供参考
回复