基本信息:
中文名称 4-甲苯基异腈
英文名称 1-isocyano-4-methylbenzene
英文别名 phenyl isoselenocyanate;4-Methylphenylisocyanid;4-methylphenyl isocyanide;p-methylphenyl isocyanide;4-methylphenyl isonitrile;4-TOLYLISOCYANIDE;Benzene,1-isocyano-4-methyl;
CAS号 7175-47-5
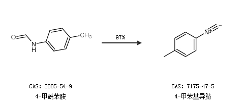
合成路线:
1.通过4-甲酰苯胺合成4-甲苯基异腈,收率约97%;

2.通过对甲苯异硫氰酸酯合成4-甲苯基异腈,收率约80%;

中华试剂网提醒:合成路线仅供参考