你好,欢迎来到中华试剂网 购试剂 买耗材! [请登录][注册有惊喜]

货号快速下单 | 签到送积分   | 会员中心 | 客服热线:400-021-2765

4-环己基-3-氧代丁酸乙酯的合成路线

提问时间:2021/4/23 8:56:04
4-环己基-3-氧代丁酸乙酯有什么方法可以合成?

1条回复:

匿名
2021/4/23 8:56:04
基本信息:
中文名称 4-环己基-3-氧代丁酸乙酯
英文名称 Ethyl 4-cyclohexyl-3-oxobutanoate
英文别名 ethyl 4-cyclohexyl-3-oxobutanoate;
CAS号 64127-44-2

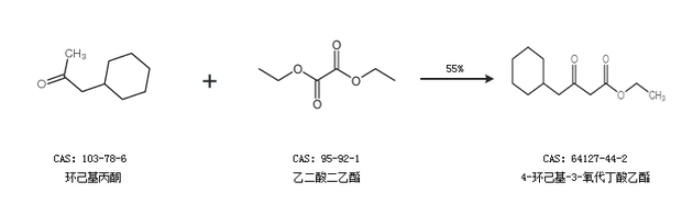
合成路线:
1.通过环己基乙酸和乙酸乙酯合成4-环己基-3-氧代丁酸乙酯,收率约10%;


2.通过环己基丙酮和乙二酸二乙酯合成4-环己基-3-氧代丁酸乙酯,收率约55%;


中华试剂网提醒:合成路线仅供参考
回复