你好,欢迎来到中华试剂网 购试剂 买耗材! [请登录][注册有惊喜]

货号快速下单 | 签到送积分   | 会员中心 | 客服热线:400-021-2765

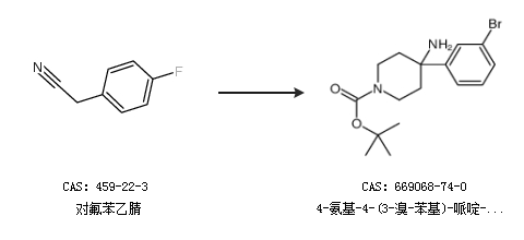
4-氨基-4-(3-溴-苯基)-哌啶-1-羧酸叔丁酯的合成路线

提问时间:2021/4/23 8:56:02
4-氨基-4-(3-溴-苯基)-哌啶-1-羧酸叔丁酯有什么方法可以合成?

1条回复:

匿名
2021/4/23 8:56:02
基本信息:
中文名称 4-氨基-4-(3-溴-苯基)-哌啶-1-羧酸叔丁酯
英文名称 tert-butyl 4-amino-4-(3-bromophenyl)piperidine-1-carboxylate
CAS号 669068-74-0

合成路线:
1.通过对氟苯乙腈合成4-氨基-4-(3-溴-苯基)-哌啶-1-羧酸叔丁酯


2.通过氮芥盐酸盐合成4-氨基-4-(3-溴-苯基)-哌啶-1-羧酸叔丁酯


中华试剂网提醒:合成路线仅供参考
回复