基本信息:
中文名称 4-氨基-2-溴苯乙酮
英文名称 1-(4-aminophenyl)-2-bromoethanone
英文别名 |O-Bromo-p-aminoacetophenone;p-aminophenacyl bromide;1-(4-aminophenyl)-2-bromoethan-1-one;(aminophenyl)bromoethanone;4-Amino-|A-bromoacetophenone;4-Amino-bromacetophenon;4-Amino-2-bromoacetophenone;4-Bromacetyl-anilin;4-Aminophenacyl | centromide;4''-Aminophenacyl bromide;
CAS号 23442-14-0
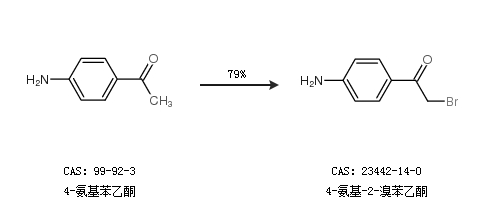
合成路线:
1.通过4-氨基苯乙酮合成4-氨基-2-溴苯乙酮,收率约79%;

中华试剂网提醒:合成路线仅供参考