你好,欢迎来到中华试剂网 购试剂 买耗材! [请登录][注册有惊喜]

货号快速下单 | 签到送积分   | 会员中心 | 客服热线:400-021-2765

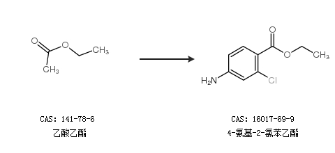
4-氨基-2-氯苯乙酯的合成路线

提问时间:2021/4/23 8:56:02
4-氨基-2-氯苯乙酯有什么方法可以合成?

1条回复:

匿名
2021/4/23 8:56:02
基本信息:
中文名称 4-氨基-2-氯苯乙酯
中文别名 4-氨基-2-氯苯羧酸乙酯;
英文名称 Ethyl 4-amino-2-chlorobenzoate
英文别名 ethyl 4-amino-2-chlorobenzoate;
CAS号 16017-69-9

合成路线:
1.通过乙醇合成4-氨基-2-氯苯乙酯


2.通过乙酸乙酯合成4-氨基-2-氯苯乙酯


中华试剂网提醒:合成路线仅供参考
回复