你好,欢迎来到中华试剂网 购试剂 买耗材! [请登录][注册有惊喜]

货号快速下单 | 签到送积分   | 会员中心 | 客服热线:400-021-2765

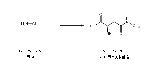
4-N-甲基天冬酰胺的合成路线

提问时间:2021/4/23 8:56:02
4-N-甲基天冬酰胺有什么方法可以合成?

1条回复:

匿名
2021/4/23 8:56:02
基本信息:
中文名称 4-N-甲基天冬酰胺
中文别名 (R)-2-氨基-N-甲基琥珀酰胺酸;
英文名称 N4-methyl-L-asparagine
英文别名 (R)-2-AMINO-N-METHYL-SUCCINAMIC ACID;N(4)-methyl-L-asparagine;L-Asparagine,N-methyl;N-Methyl-L-asparagin;
CAS号 7175-34-0

合成路线:
1.通过甲胺合成4-N-甲基天冬酰胺


中华试剂网提醒:合成路线仅供参考
回复