你好,欢迎来到中华试剂网 购试剂 买耗材! [请登录][注册有惊喜]

货号快速下单 | 签到送积分   | 会员中心 | 客服热线:400-021-2765

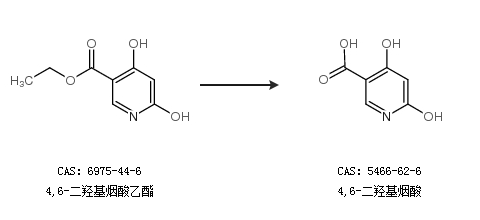
4,6-二羟基烟酸的合成路线

提问时间:2021/4/23 8:54:21
4,6-二羟基烟酸有什么方法可以合成?

1条回复:

匿名
2021/4/23 8:54:21
基本信息:
中文名称 4,6-二羟基烟酸
英文名称 4-Hydroxy-6-oxo-1,6-dihydropyridine-3-carboxylic acid
英文别名 4,6-Dihydroxynicotinic acid;
CAS号 5466-62-6

合成路线:
1.通过4,6-二羟基烟酸乙酯合成4,6-二羟基烟酸


中华试剂网提醒:合成路线仅供参考
回复