基本信息:
中文名称 4,6-二氯-2-(乙氧基羰基)-1H-吲哚-3-丙酸
中文别名 3-(4,6-二氯-2-(乙氧基羰基)-1H-吲哚-3-基)丙酸;
英文名称 3-[4,6-Dichloro-2-(ethoxycarbonyl)-1H-indol-3-yl]propanoic acid
英文别名 3-(2''-carboxyethyl)-4,6-dichloroindole-2-carboxylic acid ethyl ester;3,6-Bis(2-hydroxyethyl)-2-pyrazinepropanoic Acid;Pyrazinepropanoic acid,3,6-bis(2-hydroxyethyl);3-(2-carboxyethyl)-2,5-bis-(2-hydroxyethyl)pyrazine;
CAS号 144989-41-3
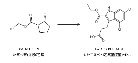
合成路线:
1.通过2-氧代环戊羧酸乙酯合成4,6-二氯-2-(乙氧基羰基)-1H-吲哚-3-丙酸

2.通过2-氧代环戊羧酸乙酯和3,5-二氯苯胺合成4,6-二氯-2-(乙氧基羰基)-1H-吲哚-3-丙酸

中华试剂网提醒:合成路线仅供参考