你好,欢迎来到中华试剂网 购试剂 买耗材! [请登录][注册有惊喜]

货号快速下单 | 签到送积分   | 会员中心 | 客服热线:400-021-2765

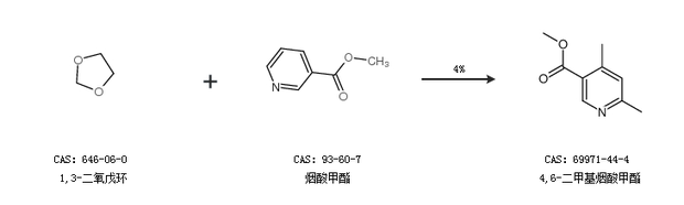
4,6-二甲基烟酸甲酯的合成路线

提问时间:2021/4/23 8:54:21
4,6-二甲基烟酸甲酯有什么方法可以合成?

1条回复:

匿名
2021/4/23 8:54:21
基本信息:
中文名称 4,6-二甲基烟酸甲酯
英文名称 Methyl 4,6-dimethylnicotinate
英文别名 methyl 4,6-dimethylpyridine-3-carboxylate;
CAS号 69971-44-4

合成路线:
1.通过1,3-二氧戊环和烟酸甲酯合成4,6-二甲基烟酸甲酯,收率约4%;


2.通过甲醇和4,6-二甲基-3-氰基吡啶合成4,6-二甲基烟酸甲酯


中华试剂网提醒:合成路线仅供参考
回复