基本信息:
中文名称 4,5-二氧代-4,5-二氢-1H-吡咯[2,3-f]喹啉-2,7,9-三羧酸三甲酯
英文名称 trimethyl 4,5-dioxo-1H-pyrrolo[2,3-f]quinoline-2,7,9-tricarboxylate
英文别名 Methoxatin trimethyl ester;pyrroloquinolinequinone trimethyl ester;PQQ trimethyl ester;Coenzyme PQQ trimethyl ester;
CAS号 74447-88-4
合成路线:
1.通过3-溴-2-氧代戊二酸 二甲酯合成4,5-二氧代-4,5-二氢-1H-吡咯[2,3-f]喹啉-2,7,9-三羧酸三甲酯

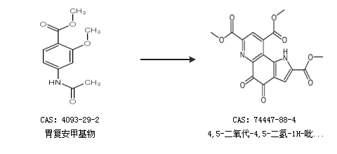
2.通过胃复安甲基物合成4,5-二氧代-4,5-二氢-1H-吡咯[2,3-f]喹啉-2,7,9-三羧酸三甲酯

中华试剂网提醒:合成路线仅供参考