基本信息:
中文名称 4,4-二苯基-2,2-二联吡啶
中文别名 4,4''-二苯基-2,2''-联吡啶;
英文名称 4,4''-DIPHENYL-2,2''-BIPYRIDINE
英文别名 4,4''-diphenyl-2,2''-bipyridyl;4,4''-diphenylbipyridine;2,2''-Bipyridine,4,4''-diphenyl;
CAS号 6153-92-0
合成路线:
1.通过4,4''-二溴-2,2''-联吡啶和苯硼酸合成4,4-二苯基-2,2-二联吡啶,收率约94%;

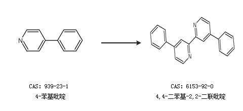
2.通过4-苯基吡啶合成4,4-二苯基-2,2-二联吡啶

中华试剂网提醒:合成路线仅供参考