你好,欢迎来到中华试剂网 购试剂 买耗材! [请登录][注册有惊喜]

货号快速下单 | 签到送积分   | 会员中心 | 客服热线:400-021-2765

4-(苯氧基甲基)苯胺的合成路线

提问时间:2021/4/23 8:54:21
4-(苯氧基甲基)苯胺有什么方法可以合成?

1条回复:

匿名
2021/4/23 8:54:21
基本信息:
中文名称 4-(苯氧基甲基)苯胺
英文名称 4-(phenoxymethyl)aniline
英文别名 4-phenoxymethyl-aniline;
CAS号 57181-90-5

合成路线:
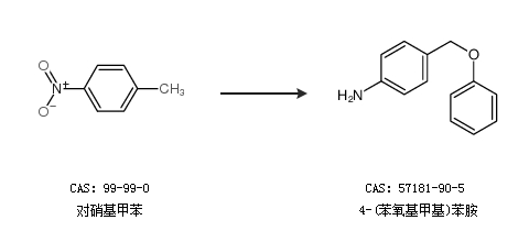
1.通过对硝基甲苯合成4-(苯氧基甲基)苯胺


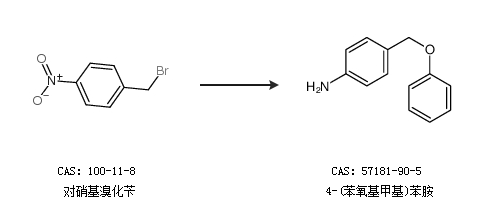
2.通过对硝基溴化苄合成4-(苯氧基甲基)苯胺


中华试剂网提醒:合成路线仅供参考
回复