你好,欢迎来到中华试剂网 购试剂 买耗材! [请登录][注册有惊喜]

货号快速下单 | 签到送积分   | 会员中心 | 客服热线:400-021-2765

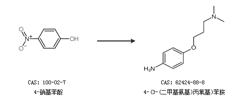
4-(3-(二甲基氨基)丙氧基)苯胺的合成路线

提问时间:2021/4/23 8:54:20
4-(3-(二甲基氨基)丙氧基)苯胺有什么方法可以合成?

1条回复:

匿名
2021/4/23 8:54:20
基本信息:
中文名称 4-(3-(二甲基氨基)丙氧基)苯胺
英文名称 4-(3-dimethylamino-propoxy)-phenylamine
英文别名 4-[3-(dimethylamino)propoxy]aniline;
CAS号 62424-88-8

合成路线:
1.通过N,N-二甲基-3-(4-硝基苯氧基)-1-丙胺合成4-(3-(二甲基氨基)丙氧基)苯胺,收率约99%;


2.通过4-硝基苯酚合成4-(3-(二甲基氨基)丙氧基)苯胺


中华试剂网提醒:合成路线仅供参考
回复