你好,欢迎来到中华试剂网 购试剂 买耗材! [请登录][注册有惊喜]

货号快速下单 | 签到送积分   | 会员中心 | 客服热线:400-021-2765

4-(2-羟基乙基氨基)苯酚的合成路线

提问时间:2021/4/23 8:54:20
4-(2-羟基乙基氨基)苯酚有什么方法可以合成?

1条回复:

匿名
2021/4/23 8:54:20
基本信息:
中文名称 4-(2-羟基乙基氨基)苯酚
英文名称 4-(2-HYDROXYETHYLAMINO)PHENOL
英文别名 EINECS 256-504-8;
CAS号 49865-92-1

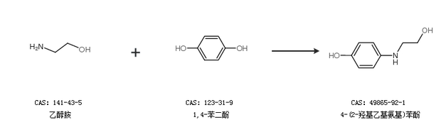
合成路线:
1.通过4-碘苯酚和乙醇胺合成4-(2-羟基乙基氨基)苯酚,收率约82%;


2.通过乙醇胺和1,4-苯二酚合成4-(2-羟基乙基氨基)苯酚


中华试剂网提醒:合成路线仅供参考
回复