基本信息:
中文名称 4-(2-氨基苯氨基)哌啶-1-甲酸叔丁酯
英文名称 tert-butyl 4-(2-aminoanilino)piperidine-1-carboxylate
英文别名 4-(2-amino-phenylamino)-piperidine-1-carboxylic acid tert-butyl ester;tert-Butyl 4-(2-aminophenylamino)piperidine-1-carboxylate;A9891;1-t-butoxycarbonyl-4-(2-aminophenyl)aminopiperidine;N-Boc-4-(2-aminophenylamino)piperidine;
CAS号 79099-00-6
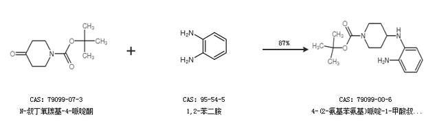
合成路线:
1.通过4-(2-硝基苯氨基)哌啶-1-甲酸叔丁酯合成4-(2-氨基苯氨基)哌啶-1-甲酸叔丁酯,收率约95%;

2.通过N-叔丁氧羰基-4-哌啶酮和1,2-苯二胺合成4-(2-氨基苯氨基)哌啶-1-甲酸叔丁酯,收率约87%;

中华试剂网提醒:合成路线仅供参考