基本信息:
中文名称 4-(1H-1,2,4-三氮唑-1-基甲基)苯胺
中文别名 4-(1,2,4-三氮唑-1-基甲基)苯胺;4-[(1,2,4-三氮唑-1-基)甲基]苯胺;利扎曲坦中间体;1-(4-氨基苄基)-1,2,4-三唑;
英文名称 4-(1H-1,2,4-Triazol-1-ylmethyl)aniline
英文别名 4-(1,2,4-triazol-1-ylmethyl)aniline;4-(1,2,4-Triazol-1-ylmethyl)aniline;4-((1H-1,2,4-Triazol-1-yl)methyl)aniline;1-(4-Aminobenzyl)-1,2,4-triazole;
CAS号 119192-10-8
合成路线:
1.通过1-(4-硝基苯基)甲基-1,2,4-三氮唑合成4-(1H-1,2,4-三氮唑-1-基甲基)苯胺,收率约99%;

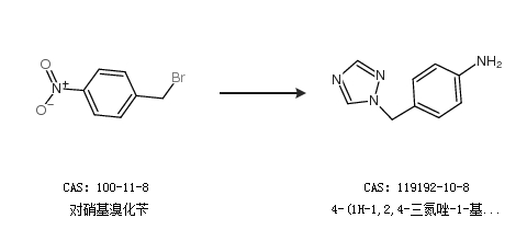
2.通过对硝基溴化苄合成4-(1H-1,2,4-三氮唑-1-基甲基)苯胺

中华试剂网提醒:合成路线仅供参考