你好,欢迎来到中华试剂网 购试剂 买耗材! [请登录][注册有惊喜]

货号快速下单 | 签到送积分   | 会员中心 | 客服热线:400-021-2765

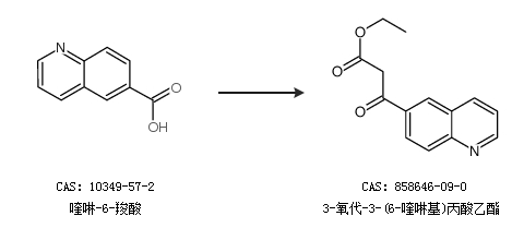
3-氧代-3-(6-喹啉基)丙酸乙酯的合成路线

提问时间:2021/4/23 8:54:20
3-氧代-3-(6-喹啉基)丙酸乙酯有什么方法可以合成?

1条回复:

匿名
2021/4/23 8:54:20
基本信息:
中文名称 3-氧代-3-(6-喹啉基)丙酸乙酯
英文名称 ethyl 3-oxo-3-quinolin-6-ylpropanoate
CAS号 858646-09-0

合成路线:
1.通过乙醇合成3-氧代-3-(6-喹啉基)丙酸乙酯


2.通过喹啉-6-羧酸合成3-氧代-3-(6-喹啉基)丙酸乙酯


中华试剂网提醒:合成路线仅供参考
回复