基本信息:
中文名称 3-氧代-3-(3-噻吩基)丙酸乙酯
英文名称 ethyl 3-oxo-3-thiophen-3-ylpropanoate
英文别名 AC-7793;ETHYL 3-OXO-3-(3-THIENYL)PROPIONATE;3-oxo-3-thiophen-3-ylpropionic acid ethyl ester;ethyl 3-oxo-3-(thien-3-yl)propionate;ethyl thiophene-3-carbonylacetate;ethyl 3-oxo-3-(thiophen-3-yl)propanoate;
CAS号 53090-46-3
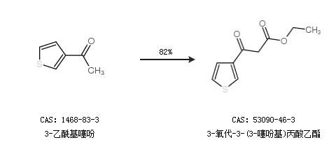
合成路线:
1.通过3-乙酰基噻吩合成3-氧代-3-(3-噻吩基)丙酸乙酯,收率约82%;

中华试剂网提醒:合成路线仅供参考