你好,欢迎来到中华试剂网 购试剂 买耗材! [请登录][注册有惊喜]

货号快速下单 | 签到送积分   | 会员中心 | 客服热线:400-021-2765

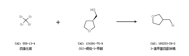
3-溴甲基四氢呋喃的合成路线

提问时间:2021/4/23 8:54:20
3-溴甲基四氢呋喃有什么方法可以合成?

1条回复:

匿名
2021/4/23 8:54:20
基本信息:
中文名称 3-溴甲基四氢呋喃
中文别名 3-(溴甲基)四氢呋喃;
英文名称 3-(Bromomethyl)tetrahydrofuran
英文别名 3-(bromomethyl)oxolane;
CAS号 165253-29-2

合成路线:
1.通过(3S)-噁烷-3-甲醇合成3-溴甲基四氢呋喃


2.通过四溴化碳和(3S)-噁烷-3-甲醇合成3-溴甲基四氢呋喃


中华试剂网提醒:合成路线仅供参考
回复