你好,欢迎来到中华试剂网 购试剂 买耗材! [请登录][注册有惊喜]

货号快速下单 | 签到送积分   | 会员中心 | 客服热线:400-021-2765

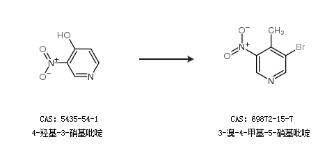
3-溴-4-甲基-5-硝基吡啶的合成路线

提问时间:2021/4/23 8:54:20
3-溴-4-甲基-5-硝基吡啶有什么方法可以合成?

1条回复:

匿名
2021/4/23 8:54:20
基本信息:
中文名称 3-溴-4-甲基-5-硝基吡啶
英文名称 3-Bromo-4-Methyl-5-Nitropyridine
英文别名 3-Bromo-4-methyl-5-nitropyridine;
CAS号 69872-15-7

合成路线:
1.通过3-溴-4-羟基-5-硝基吡啶合成3-溴-4-甲基-5-硝基吡啶


2.通过4-羟基-3-硝基吡啶合成3-溴-4-甲基-5-硝基吡啶


中华试剂网提醒:合成路线仅供参考
回复