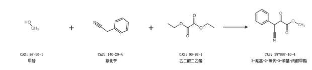
基本信息:
中文名称 3-氰基-2-氧代-3-苯基-丙酸甲酯
英文名称 methyl 3-cyano-2-oxo-3-phenylpropanoate
英文别名 Benzenepropanoic acid,b-cyano-a-oxo-,methyl ester;A130;GL-0892;3-Cyan-2-oxo-3-phenyl-propionsaeure-methylester;Phenyl-cyan-brenztraubensaeure-methylester;3-cyano-2-oxo-3-phenyl-propionic acid methyl ester;3-Phenyl-oxalessigsaeure-1-methylester-4-nitril;
CAS号 397887-10-4
合成路线:
1.通过甲醇、氰化苄和乙二酸二乙酯合成3-氰基-2-氧代-3-苯基-丙酸甲酯

中华试剂网提醒:合成路线仅供参考