你好,欢迎来到中华试剂网 购试剂 买耗材! [请登录][注册有惊喜]

货号快速下单 | 签到送积分   | 会员中心 | 客服热线:400-021-2765

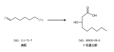
3-羟基壬酸的合成路线

提问时间:2021/4/23 8:54:19
3-羟基壬酸有什么方法可以合成?

1条回复:

匿名
2021/4/23 8:54:19
基本信息:
中文名称 3-羟基壬酸
英文名称 3-HYDROXYNONANOIC ACID
英文别名 3-HYDROXY C9:0 ACID;(+-)-3-Hydroxy-nonansaeure;
CAS号 88930-09-0

合成路线:
1.通过庚醛和溴乙酸甲酯合成3-羟基壬酸


2.通过庚醛合成3-羟基壬酸


中华试剂网提醒:合成路线仅供参考
回复