基本信息:
中文名称 3-邻羟基苯基丙酸乙酯
英文名称 Ethyl 3-(3-hydroxyphenyl)propanoate
英文别名 Benzenepropanoic acid,3-hydroxy-,ethyl ester;ethyl 3-(3-hydroxyphenyl)propionate;Ethyl3-(m-hydroxyphenyl)propionate;3-(3-hydroxy-phenyl)propionic acid ethyl ester;3-(3-HYDROXY-PHENYL)-PROPANOIC ACID ETHYL ESTER;Aethyl-3-(m-hydroxyphenyl)propanoat;ethyl 3-hydroxybenzenepropionate;
CAS号 34708-60-6
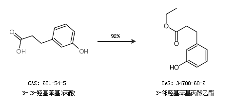
合成路线:
1.通过乙醇和3-(3-羟基苯基)丙酸合成3-邻羟基苯基丙酸乙酯,收率约99%;

2.通过3-(3-羟基苯基)丙酸合成3-邻羟基苯基丙酸乙酯,收率约92%;

中华试剂网提醒:合成路线仅供参考