你好,欢迎来到中华试剂网 购试剂 买耗材! [请登录][注册有惊喜]

货号快速下单 | 签到送积分   | 会员中心 | 客服热线:400-021-2765

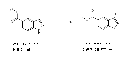
3-碘-5-吲唑羧酸甲酯的合成路线

提问时间:2021/4/23 8:54:18
3-碘-5-吲唑羧酸甲酯有什么方法可以合成?

1条回复:

匿名
2021/4/23 8:54:18
基本信息:
中文名称 3-碘-5-吲唑羧酸甲酯
中文别名 3-碘-1H-吲唑-5-羧酸甲酯;3-碘-1H-吲唑-4-甲酸甲酯;3-碘吲唑-5-羧酸甲酯;
英文名称 Methyl 3-iodo-1H-indazole-5-carboxylate
英文别名 methyl 3-iodo-2H-indazole-5-carboxylate;
CAS号 885271-25-0

合成路线:
1.通过吲唑-5-甲酸甲酯合成3-碘-5-吲唑羧酸甲酯


中华试剂网提醒:合成路线仅供参考
回复