基本信息:
中文名称 3-氨基异丁酸
中文别名 2-(氨甲基)丙酸;
英文名称 3-aminoisobutyric acid
英文别名 AIB;(3R)-methyl-3-aminopropanoic acid;DL-3-Aminoisobutyric Acid Hydrate;H-DL-AIB(3)-OH;H-AIB-OH;3-amino-2(R,S)-methylpropionic acid;3-amino-2-methylpropionic acid;DL-3-Aminoisobutyric acid;(+/-)-b-Aminoisobutyric acid;H-DL-3-AIB-OH;H-DL-ALA-(NOCH2)OH;2-Methyl-b-alanine;H-(ME)ALA-OH;2-methyl-3-aminopropanoic acid;H-ALA(ME)-OH;
CAS号 10569-72-9
合成路线:
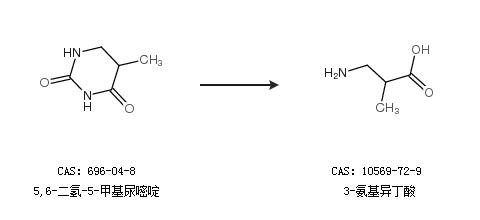
1.通过5,6-二氢-5-甲基尿嘧啶合成3-氨基异丁酸

2.通过2-氰基丙酸乙酯合成3-氨基异丁酸

中华试剂网提醒:合成路线仅供参考