基本信息:
中文名称 3-氨基咔唑
中文别名 咔唑-3-胺;
英文名称 9H-carbazol-3-amine
英文别名 Carbazol-3-ylamine;3-amino-9H-carbazole;EINECS 228-946-1;3-Aminocarbazole;4-aminocarbazole;3-Aminocarbazol;Carbazole,3-amino;Carbazol-3-ylamin;9H-Carbazol-3-ylamine;carbazole-3-ylamine;
CAS号 6377-12-4
合成路线:
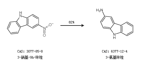
1.通过3-硝基-9h-咔唑合成3-氨基咔唑,收率约82%;

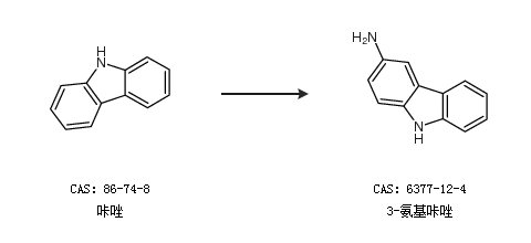
2.通过咔唑合成3-氨基咔唑

中华试剂网提醒:合成路线仅供参考